Centripetal Force Worksheet Answer Key. Worksheet 5 1 centripetal force and centripetal acceleration i. physics 12 centripetal acceleration centripetal force. ucm archives page 2 of 3 regents physics. worksheet 5 1 centripetal force key. centripetal force archives page 3 of 3 regents physics Related topic : Answer
Thats why we have entry tests for all applicants who want to work for us. Physics 20 Course Outline.
Centripetal Forces Answer Key
A rightward applied force is used to displace a television set to the right.
Law of Inertia see Inertia definition. I should set a better example. The skydiver is in free fall. Centripetal force is perpendicular to tangential velocity and causes uniform circular motion. We also know that x x 0 402 m this was the answer in Example 38. Physics 20 Notes Week 1 Free Body Diagrams and Net Forces.
Centripetal Force Archives Page 3 Of 3 Regents Physics

Circular Motion Worksheet With Answers Promotiontablecovers

Circular Motion Worksheet

Physics 12 Centripetal Acceleration Centripetal Force
![]()
Physics Circular Motion Worksheet Answers Promotiontablecovers
Circular Motion Teaching Resources
Ucm Archives Page 2 Of 3 Regents Physics
![]()
Circular Motion Worksheet Sans Answers Circular Motion Review Worksheet 1 A 1 5 Kg Ball Moves In A Circle That Is 0 5 M In Radius At A Speed Of 5 1 Course Hero
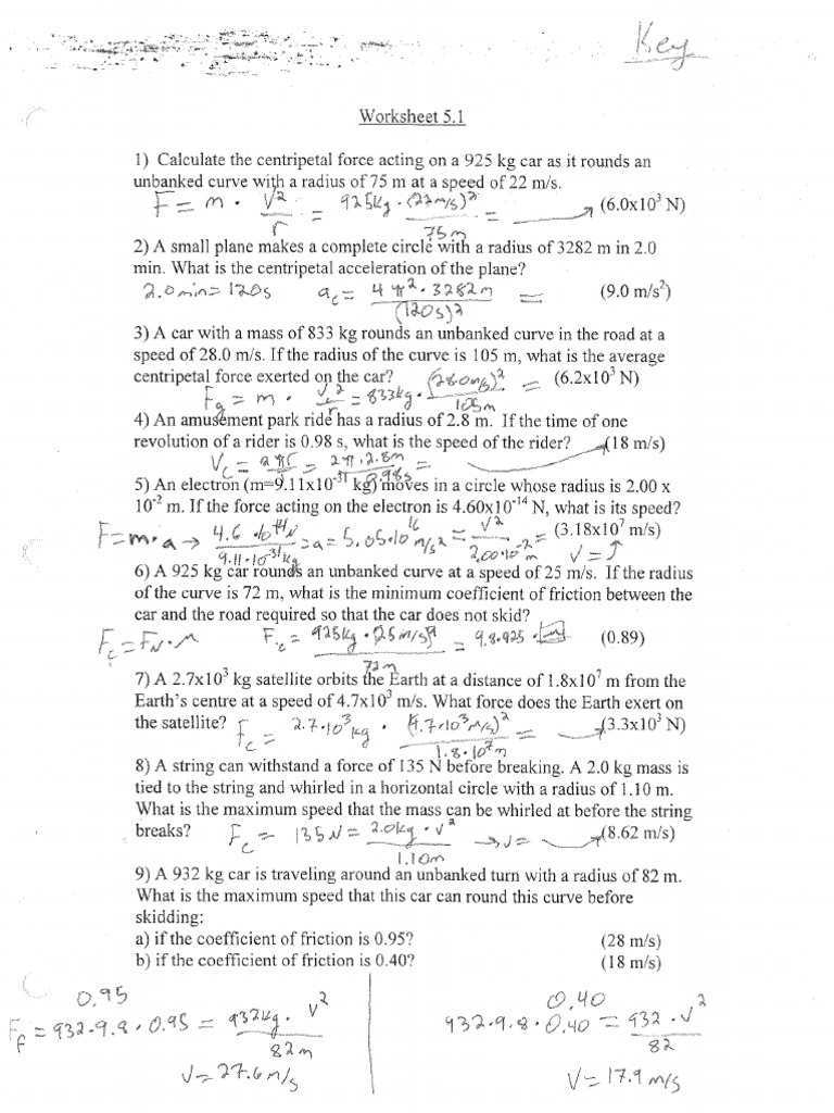
Worksheet 5 1 Centripetal Force Key

Worksheet 5 1 Centripetal Force And Centripetal Acceleration I

Physics Circular Motion Worksheet Answers Nidecmege
Minute Physics Video link quick unique explanation of some cool concepts. Here because the planets orbit around a point right in between them this distance is simply R. I feel bad that Ive done that twice in the sections on vectors.
Here is all you need to learn about Centripetal Force Worksheet Answer Key, Circular motion worksheet sans answers circular motion review worksheet 1 a 1 5 kg ball moves in a circle that is 0 5 m in radius at a speed of 5 1 course hero circular motion worksheet physics circular motion worksheet answers nidecmege circular motion teaching resources physics circular motion worksheet answers promotiontablecovers centripetal forces answer key
Komentar
Posting Komentar